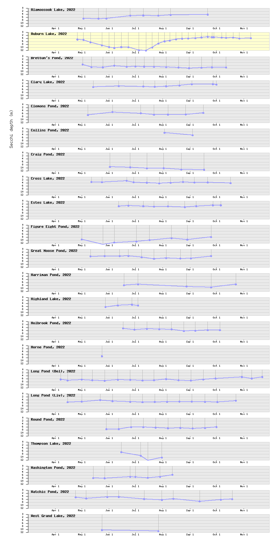
Lake Stewards of Maine Volunteer Lake Monitoring Program Near realtime Secchi lake transparency data Home > 2022 Secchi depths for selected NRTLD-monitored lakes Auburn Lake is highlighted below, if plot is enabled for it. Select season: 2022 2021 2020 2019 2018 2017 2016 2015 2014 2012 2011 2010 2009 2008 2007 2006 2005 2004 2003 2002 2001 2000 1999 1998 1997 1996 1995 1994 (2012 and earlier based on station 1 historical data) Not all NRLTD lakes are shown here... contact stevegrubb@gmail.com to request changes. Click on a plot to go to lake's detail page.